Matematika dan Pembentukan Karakter, Apa Hubungannya?
Peranan Ilmu Matematika dalam Pembentukan Karakter
Matematika merupakan suatu ilmu yang membutuhkan pemikiran logis, rasional, kritis, jujur, efektif, dan efisien. Menurut Permendiknas Nomor 22 Tahun 2006, matematika bukan hanya ilmu eksak tetapi juga matematika merupakan ilmu sosial. Mengapa bisa begitu? Terdapat nilai-nilai penting yang dapat dikembangkan dalam kehidupan, melalui pelajaran matematika yang berguna untuk pendidikan karakter seseorang, antara lain:
- Cara berpikir logis dan berhati-hati dalam mengambil keputusan
Salah satu bab yang mengajarkan cara berpikir logis adalah Logika Matematika. Pertimbangan akal pikiran yang kita gunakan untuk menarik kesimpulan bukan hanya didasarkan pada logika alamiah (menebak-nebak), tetapi juga logika ilmiah. Proses berpikir kita akan menjadi lebih objektif sehingga bisa mengurangi kesalahan saat mengambil keputusan.
Contoh kasus:
Premis I : Jika saya lapar maka saya makan
Premis II : Saya lapar
Kesimpulan : Saya makan
Premis I : Jika saya lapar maka saya makan
Premis II : Saya makan
Kesimpulan : ….
Yuk, coba dipikirkan!
- Disiplin untuk mematuhi aturan
Ketika memecahkan soal matematika, kita harus memperhatikan aturan atau rumus yang sudah ada. Konsekuensi jika tidak disiplin dan melanggar aturan adalah solusi yang diperoleh menjadi salah. Sebagai contoh, barisan bilangan kuadrat (1, 4, 9, 16, 25, …). Aturan untuk melanjutkan barisan tersebut adalah dengan menguadratkan setiap bilangan asli (1, 2, 3, 4, …). Jika aturan ini diabaikan, maka barisan tersebut bukan merupakan barisan bilangan kuadrat.
- Kejujuran
Dalam matematika, kita mengenal adanya unsur prima yang merupakan kesepakatan awal untuk melanjutkan suatu pernyataan. Misalnya, tanda “+” merupakan tanda untuk operasi jumlah. Berapakah 7 + 5? Matematika akan tegas mengatakan bahwa 7 + 5 = 12 . Hal itu menunjukkan bahwa pembuktian matematika dapat membentuk sikap jujur karena jika 7 + 5 = 2 matematika secara tegas mengatakan bahwa itu salah. Artinya, dari belajar matematika kita sudah diajarkan untuk setiap perkataan harus bersumber pada fakta yang ada.
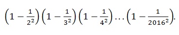
- Pantang menyerah dan percaya diri
Misalnya ada suatu permasalahan :

Permasalahan tersebut jelas sangat sulit untuk dipecahkan. Akan tetapi, jika kita mau mencoba dan tidak menyerah, pasti akan mendapatkan jawaban dari setiap permasalahan.
Selain bisa digunakan untuk pendidikan karakter, matematika juga bisa digunakan untuk memotivasi hidup kita supaya bisa menjadi lebih semangat dan bermanfaat, lho!
Terkadang, dalam hidup ada yang harus dikurangi (rasa malas) agar yang lain bisa ditambah (prestasi). Ada juga yang harus dibagi (kebahagiaan) supaya yang lain menjadi berkali-kali lipat banyaknya (rasa syukur dan kegembiraan).
Hidup itu ada rumusnya. Jika 01
itu sama dengan nol, maka artinya janganlah kita memberi dengan mengharap akan kembali karena akan sia-sia. Namun, jika kita balik menjadi 10
yang hasilnya adalah infinity. Ketika kita ikhlas dan tidak mengharapkan apa pun, banyak hal baik yang tidak terduga akan datang menghampiri. Semangat!